e

irrational and transcendental
2.7182818284590452353602874713527...        1828 (election of Andrew Jackson)
e as in Euler, its elucidator.      e≈ 878/323 ≈2.71827

eefing amazing:

e geometry: the area under the simplest hyperbola, the reciprocal function 1/x from 1 to e is 1.

Compound interest formula A=P(1+r/n)nt, set P=r=t=1 (1$, 100% interest rate, 1 year) → (1+1/n)n
   Increase the number of compounding periods n, approaches e.

Can get to e in a limiting process: e is the horizontal asymptote for this function


Some relations with π, i, trig functions:


Money with e:
future value FV (accumulated value) of continuosly compounded interest r of principal P in t years:
FV = Pert
(continuous growth. inflation etc.)
"e is an interesting number" "It sure is pertty"


ex: the exponential function.

e1 2.71828 e-1 = 1/e = .36787
e2 7.38905 e-2 .13533
e3 20.08553 e-3 .049787
e4 54.5981 e-4 .018315
e5 148.4132 e-5 .006779
e6 403.4287 e-6 .0024787
√e = e½ ≈ 1.648     (Westfälisher Friede)
∛e ≈ 1.395
ee ≈ 15.15    
e1/e ≈ 1.444
(1/e)1/e ≈ 0.6922

Exponential function is the only function whose derivative is itself, i.e. (ex)' = ex
i.e. slope is itself. "Most important property"
NB. derivative of general exponential function bx is bx ln b
So the slope of the tangent line at any point on ex curve is ex.
i.e. the rate of change at x is equal to the y (height).
         
Some example tangent lines at various points on ex.
    

Exponential function is the only function whose integral is itself.
So the area under the curve of ex from -∞ to x is ex.
       

In summary:

Exercise:

(aex)' = aex


ex and its reciprocal 1/ex = e-x. Symmetric about Y axis.

Average of ex and e-x is the hyperbolic cosine function, cosh.
Half the difference of ex and e-x is the hyperbolic sine function, sinh.

cosh(0) = 1     sinh(0) = 0
cosh(1) ≈ 1.543     sinh(1) ≈ 1.175
cosh is even, sinh odd.

Analogues to the trig functions, but defined on the unit hyperbola:

cosh'=sinh and sinh'=cosh
And so cosh''=cosh and sinh''=sinh
The only pairs of functions f and g that are each other's derivative have form: f(x)=aex+be-x and g(x)=aex-be-x

Hanging/sagging/drooping chain/rope/cable is a catenary curve: a cosh(x/a)


   


Steiner's problem: where's the max value of x1/x? i.e. xth root of x




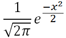
ex2 and e-x2. Not exponential but use e.
e-x2 is the [simplest] Gaussian function. Its infinite integral (i.e. area under its curve) is √π≈1.772.

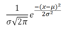
The standard normal distribution:


Gaussian/normal distribution function:



Poisson distribution.
the probability that k events will happen in an interval given that the average/expected number of random independent events in an interval is λ is:
ke) / k!

//return a Poisson-distributed random number
//given lambda=expected/average independent #events in an interval 
function poisson(lambda) {
  var k=0, p=1, L = Math.exp(-lambda);
  do {
    k++;
    p *= Math.random();
  } while (p > L);
  return k-1;
}

Derangements A derangement is a permuatation that is a complete rearrangement, i.e. all items move.
Example: bca and cab are the two derangements of abc.
Example: badc bcda bdac cadb cdab cdba dabc dcab dcba are the nine derangements of abcd.
Probability of a permutation being a derangement is 1/e (in the limit as n→∞) ≈ 0.367879441
≈ 36.78% of permutations are derangements
#permutations = n!      #derangements !n = floor(n!/e + 1/2)
n:!n    3:2 4:9 5:44 6:265 7:1854 8:14833 9:133496 ...
n!/!n = e


Factorials


Roll an n-sided die n times. Probability never is a particular side (e.g. a 1) is 1/e.
If have N equally likely outcomes. Do N experiments. Probability that a certain outcome never happens is 1/e.
Gambling game: N slots, one the winner. N tries(plays). Chance of losing all (ie. never winning) is 1/e.
demo


The average number of random real numbers between 0 and 1 needed to sum to more than 1 is e.
I.e. need an average of e numbers uniformly distributed in [0,1] to sum >1.

demo


A stick of length L broken into n equal-length pieces. Multiply the lengths of all the pieces.

What value of n maximizes the product? ⌊L/e⌋ or ⌊L/e⌋+1
demo


The probability of selecting/picking/encountering the best/highest of randomly presented/ordered candidates/items/numbers as the proportion x of them presented/encountered.

Secretary problem. Have N rankable candidates, want the optimal. See them sequentially in random order, once seen can not be considered again, choosing one stops the process. .
Algorithm: see 1/e of them remembering the rank of the best of them, then choose next that is better. Has 1/e (37%) chance of choosing the best.
demo


Primes
The Prime Number Theorem: π(N), the number of primes up to N, is approximately N/ln N.
(which equals eN/N)

N ln N N/ln N π(N) %primes
106 13.81 72,382 78,498 7.8498
109 20.72 48,254,942 50,847,534 5.0847534
1012 27.63 36,191,206,825 37,607,912,018 3.7607912018
1015 34.54 28,952,965,460,216 29,844,570,422,669 2.9844570422669
Density of primes around/near a number N is about ln N
i.e. about 1 / ln N of the numbers around N are prime.

Partitions
p(n) = #partitions of a positive integer n
(i.e. #ways that n can be written as a sum of positive integers)
p(4)=5 : 4, 3+1, 2+2, 2+1+1, 1+1+1+1
p(5)=7 : 5, 4+1, 3+2, 3+1+1, 2+2+1, 2+1+1+1, 1+1+1+1+1


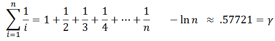
Euler's constant
γ ≈ 0.57721. Difference between the sum of a harmonic series of n terms and ln n approaches γ as n approaches ∞.


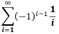
Alternating harmonic series
= 1 - 1/2 + 1/3 - 1/4 + 1/5 - 1/6 + 1/7...= ln 2 ≈.693147

Google's IPO goal was to raise $2,718,281,828 (e billion dollars)

Entropy S = k ln W
The number of Ways the system can be.

"I think that I shall never see a number as lovely as e."


Logarithmic spirals.
x(t)=aebtcos(t)
y(t)=aebtsin(t)

"e must be dear to the Diety."