One sample T hypothesis test for Mean

Null hypothesis H0: already known, established, default, status quo, old, pre-existing, current practice, well-known, working assumption, nothing new, boring. The parameter μ equals some number a; there is no difference.
Alternative hypothesis HA: new, exciting, hoped/wished, changed, different, research, challenger, the conjecture. Either the parameter μ<a, or μ>a, or μ≠a; there is a difference, there is an effect.
Test if the sample (i.e. its statistic and its size, n) provides enough evidence to overthrow ("warrant rejection of") the null hypothesis. Is the sample statistic extreme enough.
Either "reject" or "fail to reject" the null hypothesis; never "accept" it. Rejecting it ≡ "support" the alternative.
The alternative hypothesis is neither rejected nor accepted.
Nothing is ever "proven". (would need entire population to prove anything)

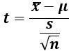
T-Test for mean μ. Uses μ, s, x̄, and n. Test statistic is t.
Data is normal or n≥30.

The test statistic is a measure of discrepancy between a sample statistic and the H0 claimed value of the population parameter μ.

Given null hypothesis H0: μ = a
Choose one:
HA: parameter μ < a "HA < H0" Left-tailed
HA: parameter μ > a "HA > H0" Right-tailed
HA: parameter μ ≠ a "HA ≠ H0" Two-tailed

μ:
:    s:
n:

t:           df:   StdErr=s/√n:      set t and df, look at p-value below
   Critical value: α=0.05: α=0.01:
If t is outside/beyond the bounds of the critical value, i.e. |t|>|crit val|, reject H0.
   If Left-tailed and t≤CritValue then Reject H0 at that α level.
   If Right-tailed and t≥CritValue then Reject H0 at that α level.
   If Two-tailed and |t|≥|CritValue| then Reject H0 at that α level.

p-value (TCDF(t,df)): if p < α, reject H0

Chance that the test statistic t would be as much or more if H0 were true.
"If the p is low, the null must go."
Typically the critical/rejection region ("level of significance", α) is chosen to be .05 or .01, so if p is less than it reject H0; if p is not less than the critical value don't reject H0 ("fail to reject").
Probability (area) in a tail (or two) of the test statistic's PDF curve.
If p is high (bigger than α), can't reject H0.
Selecting Two-tailed case doubles the p-value over the One-tailed cases.
Mean One-tailed tests are "symmetric".
Tip: if the p-value is like .9, check that you selected the appropriate "tail" above before failing to reject.

Exs.
Worksheet
T-test: μ=100, s=10, n=30. Try x̄= 102, 103, 104, 105. Ha>H0
T-test: μ=100, s=10, n=30. Try x̄= 102, 103, 104, 105. Ha≠H0

Effect of s:
T-test: μ=100, s=5, n=30. Try x̄= 101, 102, 103. Ha>H0
T-test: μ=100, s=5, n=30. Try x̄= 101, 102, 103. Ha≠H0

Effect of n:
T-test: μ=100, s=10, n=100. Try x̄= 101, 102, 103. Ha>H0
T-test: μ=100, s=10, n=100. Try x̄= 101, 102, 103. Ha≠H0


NB. p-hacking: great pressures (professional, monetary, publication bias, ideological) to have positive result.
So cheating and lying by:
stop data collection when p≤.05
discard data that prevents p≤.05
repeat the experiment until get p≤.05
test for different effects until find one with p≤.05
NB. Also possible to have:
H0: φ≤a and HA: φ>a
H0: φ≥a and HA: φ<a
NB. With very large sample a very small difference between x̄ and claimed μ can be "significant".